飼糧中添加牛樟芝發酵產品對肉雞抗氧化、抗發炎和脂質代謝的影響
摘要
圖
圖1
抗氧化能力包括(A)亞鐵…
圖1
抗氧化能力包括(A)熱…的亞鐵螯合能力和(B) DPPH清除能力。 ) DPPH清除能力。數值表示為三個樣本的平均值±標準差 (n = 3)。 HFAC,牛樟芝固態發酵16天熱水萃取產物; ACW,熱水提取固態培養牛樟芝菌絲體粉末。
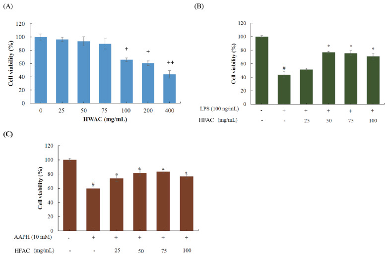
圖2
細胞毒性和保護作用評估
圖2
…發酵熱萃取物固態產物的細胞毒性和保護作用評估
圖2 細胞毒性和保護作用評估由牛樟芝發酵16 天(HFAC) 的熱提取產物固態發酵至(A) 雞血單核細胞(cPBMC) 本身、(B) LPS 刺激的cPBMC 和(C) AAPH 刺激的cPBMC。數值表示為六個樣本的平均值±標準差 (n = 6)。 HFAC,牛樟芝固態發酵16天熱水萃取產物; cPBMC,雞血單核細胞; AAPH,2,2'-偶氮二(2-脒基丙烷)二鹽酸鹽; LPS,脂多醣。對於其他濃度與0mg/mL HWAC相比,+p<0.05被認為是顯著的。 ++p<0.05被認為是其他濃度與0mg/mL HWAC相比是顯著的。相對於AAPH或LPS,#p<0.05被認為對對照組是顯著的。 * p<0.05和** p<0.01被認為對於樣品相對於AAPH或LPS而言是顯著的。
圖3
膳食替代品的效果...
圖3
膳食替代品牛樟芝固態發酵麥麩的效果...
圖3 膳食替代品的效果對21歲和35 歲肉雞血清中的(A) 超氧化物歧化酶(SOD) 和(B) 過氧化氫酶(CAT) 進行牛樟芝固態發酵麥麩16 天(FAC)。個樣本的偏差(n = 8)。 WB,麥麩; FAC,產品採用牛樟芝固態發酵麥麩16天。 a,b 21天無相同字母的組間平均值顯著不同(p<0.05)。 A、B 35天內無相同字母的組間平均值顯著不同(p<0.05)。