應用響應曲面法和定量 NMR 優化牛樟芝三萜類化合物的萃取、表徵和定量
圖
圖 1
麥角甾烷差向異構體和羊毛甾烷...
圖1
麥角甾烷差向異構體和羊毛甾烷三萜類化合物。
圖1 麥角甾烷差向異構體和羊毛甾烷三萜類化合物。
圖2
繪圖與比較1 …
圖2
EEAC、zhankuic Acid A、… 的1 H NMR 譜圖與比較
圖2 EEAC、zhankuic Acid A、… 的1 H NMR 譜圖和比較zhankuic 酸 A 和脫氫 eburicoic 酸 (400 MHz)。
圖3
三維響應面輪廓…
圖3
EEAC總面積比的三維響應面輪廓…
圖3 EEAC總面積比的三維響應面輪廓… 圖3 EEAC總面積比的三維響應面輪廓受三個自變數影響的 EEAC 總麥角甾烷和羊毛甾烷三萜的積分面積比。
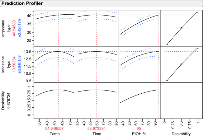
圖 4
的剖面預測< /p>
圖4
利用… 各因子優化提取條件的預測曲線
圖4 利用… 各因子優化提取條件的預測曲線中央複合設計。