藥用真菌樟腦完整線粒體基因組揭示多孔菌目基因重排和內含子動態
圖
圖 1
粒線體圓形圖譜...
圖1
台灣樟腦線粒體基因組圓形圖譜。基因表示...
圖1 樟腦台灣真菌線粒體基因組圓形圖。基因由不同顏色的區塊表示。每個環外部的彩色塊表示基因位於正鏈上,而環內的彩色塊表示基因位於反向鏈上。
圖2
假定的二級結構
圖2
線粒體基因組中鑑定的27 個tRNA 基因的假定二級結構...
圖2 線粒體中鑑定的27 個tRNA 基因的假定二級結構台灣樟芝基因組。所有基因均以台灣真菌線粒體基因組中的出現順序顯示,從 trnV 開始。使用 MITOS 確定 tRNA 結構。
圖 3
蛋白質編碼、內含子、基因間和…
圖3
整個粒線體的蛋白質編碼、內含子、基因間和RNA基因區域比例…
圖3 蛋白質-台灣樟芝整個粒線體基因組的編碼、內含子、基因間和RNA基因區域比例。
圖 4
密碼子使用情況粒線體…
圖4
台灣樟芝線粒體基因組密碼子使用情況。密碼子計數…
圖4 樟樹線粒體基因組密碼子使用。密碼子使用計數繪製在 y 軸上。
圖5
共線性分析12種多孔菌目…
圖5
12 種多孔菌線粒體基因組的共線性分析。同源區域以直線連接...
圖5 12種多孔菌線粒體基因組的共線性分析。同源區域以相同顏色的直線連接。同源區域的大小和相對位置在絲裂基因組之間有所不同。
圖6
cox1的Pcl訊息基因…
圖6
cox1基因( a ) 和cob基因( b…
圖6 12種多孔菌屬cox1基因(a)和cob基因(b)的Pcl訊息相同的Pcl(直系同源內含子)用相同的字母或表示。基於15個串聯線粒體核心蛋白和2個rRNA基因,使用貝葉斯推理(BI)方法和最大似然(ML)方法確定了12個多孔菌物種的系統發育位置。 UN顯示此內含子與已知內含子的插入位點和序列相似性不同。上圖的II顯示此內含子屬於II組內含子。物種 ID 請參閱補充表 S8。
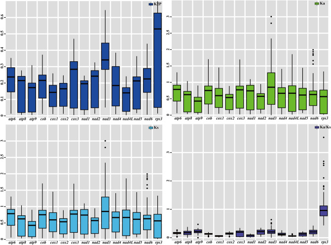
圖7
15的遺傳分析蛋白質…
圖7
12個多孔菌線粒體基因組中保守的15個蛋白質編碼基因的遺傳分析。 K2P…
圖7 12個多孔菌線粒體基因組中保守的15個蛋白質編碼基因的遺傳分析。 K2P 為 Kimura-2 參數距離,Ka 為每個非同義位點的非同義替換的平均數,Ks 為每個同義位點的同義替換的平均數。
圖8
25 的分子系統發育繖形孢菌...
圖8
基於貝葉斯推理(BI)和Maximum...的25種繖形孢菌的分子系統發育.. .
圖8 基於貝葉斯推理的25種繖形孢菌的分子系統發育對 15 個蛋白質編碼基因和兩個 rRNA 基因進行 (BI) 和最大似然 (ML) 分析。支持值是貝葉斯後驗機率(斜線之前)和引導值(斜線之後)。系統發育分析中使用的基因組的物種和 NCBI 登錄號在補充表 S8 中提供。 所有人物 (8)