牛樟芝提取廢物補充促進斑馬魚的熱應激耐受性和組織再生能力
摘要
牛樟芝 (AC) 已被證明具有抗發炎、抗腫瘤和免疫調節活性。據估計,台灣每年產生數百噸活性碳萃取廢棄物 (ACEW)。本研究旨在評估在水產養殖業中應用 ACEW 作為飼料補充劑的可行性。 ACEW顯著抑制了水箱中微生物的生長,添加10%ACEW的飼料第5天減少了約39.4%。補充10%ACEW 30天的斑馬魚飼料轉換效率是對照組的1.22倍。 ACEW 顯著提高了斑馬魚對熱和冷壓力的耐受性。當水溫極端為38℃或11℃時,與對照組100%的死亡率相比,10%ACEW飲食組的存活率仍分別為91.7%和83.3%。在尾鰭截肢試驗中,10% ACEW 飼料經過 3 週再生後,斑馬魚的鰭恢復率從 68.4% 提高到 93%。 ACEW有效下調TNF-α、IL-1β、IL-6和IL-10的基因表達,並上調IL-4/13A的基因表現。另外,飼料中添加ACEW可以維持並防止魚在腸炎時體重下降過多。總而言之,ACEW 在水產養殖方面具有有益的潛力。 " alt ="圖 1" />
圖 1
細菌平板總數...
圖 1
細菌平板總數4天培養期間的罐水。三十條魚…
圖 1 4 天培養期間魚缸水中的細菌平板總數。每組30條魚,置於同一水族箱中,飼養實驗期間每天更換五分之一的水箱水。與賦形劑組相比的顯著差異表示為*p<0。 0.05,**p<0.05 0.01,且***p<0.01 0.001。
圖2
< p> 牛樟芝萃取物的影響…圖2
補充牛樟芝萃取廢料(ACEW) 對( A ) 體重的影響…
> 圖2 補充牛樟芝萃取廢料(ACEW) 對(A) 體重增加、(B) 受精率及(C) 的影響) 30天培養期間斑馬魚的孵化率。體重增加研究,每組使用三十條成年魚並放入同一水族箱中。對於繁殖研究,在產卵事件前一天晚上,在交配池中每組將三隻雄性魚與三隻雌性魚配對。與賦形劑組相比的顯著差異表示為*** p<0。 0.001。
圖3
< p> 補充ACEW對…的影響圖3
補充ACEW對溫度快速變化下斑馬魚存活率的影響…
圖3 補充ACEW對…的影響溫度快速變化下斑馬魚的存活率。每組12隻成年斑馬魚在實驗前以指定飼料餵食30天,然後進行快速溫度變化:(A)加熱挑戰實驗; (B) 冷卻挑戰實驗。溫度變化的時間過程在 4.6 節中描述。
圖4
< p> ACEW 補充對…的影響圖4
ACEW 補充對尾鰭再生能力的影響。 ( A ) 長度…
圖4 補充ACEW對尾鰭再生能力的影響。 (A) 尾鰭長度變化; (B) 原始鰭、截肢鰭和再生鰭的典型照片。實驗前每組20隻成年斑馬魚以指定飼料餵食30天,然後將尾鰭截除一半。 21天恢復後,測量尾鰭長度。與媒介物(組0)相比的顯著差異表示為*p<0。 0.05,**p<0.05 0.01,且***p<0.01 0.001。
圖 5
< p> ACEW 補充對…的影響圖5
ACEW 補充對…下斑馬魚發炎相關細胞激素基因表現的影響
圖5 ACEW 補充的影響預防模式實驗中噁唑酮腸道刺激下斑馬魚發炎相關細胞激素基因表現的影響實驗前每組10隻成年斑馬魚依規定飼料餵食30天,然後直腸內滴注0.2%噁唑酮誘發急性腸炎。加入ACEW的飲食組和對照飲食組(未添加ACEW的OZ組)之間基因表現的顯著差異表示為*p<0。 0.05,**p<0.05 0.01,且***p<0.01 0.001。
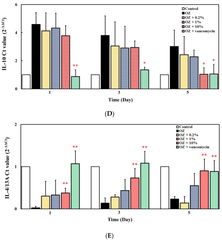
圖6
< p> ACEW 補充對…的影響圖6
ACEW 補充對…下斑馬魚發炎相關細胞激素基因表現的影響
圖6 ACEW 補充的影響治療模式實驗中噁唑酮腸道刺激下斑馬魚發炎相關細胞激素基因表現的影響。每組10隻成年斑馬魚,直腸內滴注0.2%噁唑酮誘發急性腸炎。誘導5小時後,每天餵魚兩次指定飼料。第 1、-3 和 -5 天,(A) TNF-α、(B) IL-1β、(C b>) IL- 6、(D) IL-10 和(E) IL-4/13A 以qRT-PCR 分析。加入ACEW的飲食與對照飲食組(未添加ACEW的OZ組)之間基因表現的顯著差異表示為*p<0。 0.05,**p<0.05 0.01,且***p<0.01 0.001。
圖6
< p> ACEW 補充對…的影響圖6
ACEW 補充對…下斑馬魚發炎相關細胞激素基因表現的影響
圖6 ACEW 補充的影響治療模式實驗中噁唑酮腸道刺激下斑馬魚發炎相關細胞激素基因表現的影響。每組10隻成年斑馬魚,直腸內滴注0.2%噁唑酮誘發急性腸炎。誘導5小時後,每天餵魚兩次指定飼料。第 1、-3 和 -5 天,(A) TNF-α、(B) IL-1β、(C b>) IL- 6、(D) IL-10 和(E) IL-4/13A 以qRT-PCR 分析。加入ACEW的飲食與對照飲食組(未添加ACEW的OZ組)之間基因表現的顯著差異表示為*p<0。 0.05,**p<0.05 0.01,且***p<0.01 0.001。
圖7
< p> ACEW補充劑對…的影響圖7
治療模式實驗中ACEW補充劑對斑馬魚體重增加的影響…
圖7 ACEW補充劑對體重的影響斑馬魚在噁唑酮誘發的急性腸炎治療模式實驗中的增益。誘導後以不同的實驗飼料餵養斑馬魚,並在第1、3、5天稱重。 p < ; 0.05,**p<0.05 0.01,且***p<0.01 0.001。 所有人物 (8)