牛樟芝培養菌絲體透過調節小鼠模型氧化壓力訊號的抗疲勞作用
圖
圖1
< p> 實驗方案與藥物...圖1
實驗方案與藥物給藥。
圖1 實驗方案與給藥。
圖2
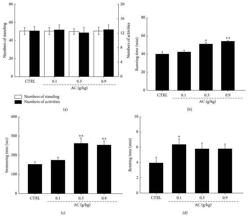
三-週AC 治療沒有帶來...
圖2
三週AC 治療並沒有帶來運動方面的顯著差異(a),但顯著延長... < /p> 圖2 三週AC 治療治療對運動(a)沒有顯著差異,但在(b)跑步、(c)游泳和(d)旋轉測試中顯著延長了力竭時間。數據表示為平均值±SEM (n = 24),並使用單向變異數分析進行分析。 *P< 0.05 且 **P <與對照組小鼠相比為0.01。
圖3
三-週AC 治療降低了...
圖3
三週AC 治療降低了血清(a) ALT 和(b) AST 的活性...
圖3 三-一週的 AC 治療降低了有或沒有 60 分鐘游泳的小鼠血清 (a) ALT 和 (b) AST 的活性。數據表示為平均值±SEM (n = 12),並使用單向變異數分析進行分析。 *P<與未游泳的對照組小鼠相比為0.05; #P <與游泳 60 分鐘的對照組小鼠相比,為 0.05。
圖4
三-一週的AC 治療增強了...
圖4
三週的AC 治療增強了(a) 肝醣原和(b) 骨骼的水平... p> 圖4 三-一週的 AC 治療提高了無論是否進行 60 分鐘游泳的小鼠的 (a) 肝醣原和 (b) 骨骼肌肝醣的水平。數據表示為平均值±SEM (n = 12),並使用單向變異數分析進行分析。 *P<與未游泳的對照組小鼠相比為0.05; #P <與游泳 60 分鐘的對照組小鼠相比,為 0.05; ∧P<相同藥物治療的小鼠在游泳 60 分鐘和未游泳 60 分鐘的情況下的比較結果為 0.05。
圖5
三-週AC 處理上調了...
圖5
三週AC 處理上調了磷酸化Akt 和磷酸化AMPK 的水平,並抑制了…
圖5 三-一週的 AC 處理上調了游泳 60 分鐘的小鼠 (a) 肝臟和 (b) 骨骼肌中磷酸化 Akt 和磷酸化 AMPK 的水平,並抑制了磷酸化 mTOR 的表達。將定量蛋白質表現的數據標準化為 GAPDH 的表達量。數據表示為平均值±SEM (n = 6),並使用單向變異數分析 *P < 1 進行分析。 0.05,*P< 0.01,且 ***P <與對照組小鼠相比為0.001。