牛樟芝減輕順鉑誘導的肝毒性並增強 BALB/cByJ 小鼠中 1 系肺癌異種移植的化療敏感性
Abstract
雖然順鉑(順二氯二氨鉑 II)是治療實體癌的第一線藥物,但它經常引起嚴重的副作用。具有與順鉑相當甚至更好的治療效果但副作用比順鉑少或更少的新藥在癌症治療中備受期待。最近的報告顯示,牛樟芝(AC)除了具有抗癌作用外,還具有保肝活性。在本研究中,我們想知道AC是否增強順鉑的化療敏感性和/或減輕順鉑誘導的肝毒性,及其潛在機制。我們的結果表明,AC 在體外抑制 1 系肺癌細胞的增殖,並從順鉑誘導的細胞死亡中拯救肝臟 HepG2 細胞。事實上,AC 和順鉑協同抑制 BALB/cByJ 小鼠中 1 系肺癌細胞的生長。即時定量PCR進一步揭示AC促進腫瘤組織中凋亡相關基因的表達,同時降低NF-κB和VEGF的表達。在肝臟中,除了恢復體重外,AC 還可以減少順鉑引起的肝功能障礙、肝臟發炎和肝細胞凋亡。總之,AC能夠透過觸發1號肺癌細胞中凋亡相關基因的表達來提高順鉑的療效,並透過避免順鉑誘導的肝臟發炎和細胞死亡來保護肝臟免受組織損傷。
圖
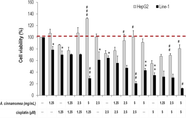
圖1. A. cinnamomea 對…的影響
圖1. A. cinnamomea 對順鉑處理的人肝HepG2 和…的細胞活力的影響
圖1. A . cinnamomea 對順鉑處理的人肝HepG2 和小鼠line-1 肺癌細胞中細胞活力的影響將細胞在含有不同濃度的順鉑和/或A. cinnamomea 的培養基中孵育48 小時。處理後,以MTS測定測定細胞活力。顯示的值是相對於媒介物對照的值,其中對照細胞活力的值設定為100%,代表三個獨立實驗。數據來源於至少三個獨立實驗,每個實驗六次測試,以平均值±SEM 表示。 *P< 0.05,**P<0.05 0.01,***P<0.01與載體處理的細胞相比為 0.001; #P < 0.05,##P< 0.01 與順鉑處理的細胞相比。
圖2. A的抗氧化活性. cinnamomea
圖2. A. cinnamomea 的抗氧化活性
測定了A. cinnamomea 的抗氧化活性...
圖2. A. cinnamomea 的抗氧化活性抗氧化作用A. cinnamomea 的活性是透過亞鐵離子螯合測定來測定。 A. α,α-聯苯-β-苦基肼 (DPPH) 自由基清除測定。 B. 和超氧陰離子清除測定C. 數據來自至少三個獨立實驗,每個實驗六次,以平均值±SEM 表示。 *P< 0.01表示與陽性對照有顯著差異。
圖 3. A 的抑制。 cinnamomea 對…
圖3. A. cinnamomea 對LPS 刺激的RAW264.7 巨噬細胞中NO 產生的抑制
A. 各種… 圖3. A 的抑制肉桂對LPS 刺激的RAW264.7 巨噬細胞中NO 產生的影響A. 評估了不同濃度(1.25、2.5 和5 mg/mL)的A. cinnamomea 在LPS 刺激的RAW264.7 中的NO 產生。 B. A. cinnamomea 的細胞毒性以 MTS 測定法測定。顯示的數值相對於載體對照,其中對照細胞活力的值設定為 100%,代表三個獨立實驗。數據來源於至少三個獨立實驗,每個實驗六次測試,以平均值±SEM 表示。 1 μg/mL LPS 為陽性對照。 *P< 0.01表示與陽性對照有顯著差異。
圖 4. A. 肉桂和順鉑協同作用...
圖4. A. cinnamomea 和順鉑協同抑制line-1 異種移植小鼠的腫瘤生長...
圖4. A. cinnamomea 和順鉑協同抑制line-1 異種移植小鼠的腫瘤生長1 異種移植小鼠模型A. 透過將line-1 細胞(3 × 105 個細胞)皮下注射到BALB/cByJ 雄性小鼠(n = 6)右大腿中,建立Line-1 肺癌細胞。給予小鼠口服賦形劑(T)、300 mg/kg肉桂A. cinnamomea (T+AC)、2.5 mg/kg順鉑(T+cis)或A. cinnamomea和順鉑的組合(T+cis+ AC) 18天。第 26 天處死小鼠,然後檢查其腫瘤體積。使用以下公式計算腫瘤體積:(長度×寬度2)/2。 B. 腫瘤重量檢查。 C. 以定量即時PCR (qRT-PCR) 估計用載體對照、順鉑或其組合治療的腫瘤中Bacl-2、Bax、半胱天冬酶3、8 和9 的mRNA A.肉桂和順鉑水平。 D. 以 qRT-PCR 對所有接受載體對照、順鉑或肉桂粉和順鉑組合治療的小鼠腫瘤組織中 VEGF 和 NF-κB mRNA 水平進行定量。載體對照 mRNA 的值設定為 1。 *與對照組有顯著差異(P<0.05)。
圖 5. A 的效果。 cinnamomea 對...
圖5. A. cinnamomea 對順鉑誘導的體重和肝臟重量減輕的影響...
圖5. A. cinnamomea 對順鉑誘導的體重和肝臟的影響line-1 異種移植小鼠模型中的體重減輕第26 天,處死小鼠並檢查體重A. 和肝臟重量B. 的最終增加數據表示為平均值±SD(n = 每組 6 隻小鼠,來自兩個獨立實驗)。 *與對照組有顯著差異(P<0.05)。 C–H. 肝臟組織病理學觀察。 (三)車輛組; (D)2.5mg/kg順鉑治療組(cis組)出現嚴重出血、明顯發炎細胞浸潤及部分肝細胞空泡變性; (E) 2.5 mg/kg順鉑+300 mg/kg AC治療組(cis+AC組),除血竇有少量出血外,未見病理變化; (F) 1系細胞接種組(T組); (G)以2.5mg/kg順鉑處理的line-1細胞組(T+cis組)顯示嚴重出血、明顯發炎細胞浸潤及部分肝細胞空泡變性; (H)以2.5mg/kg順鉑加300mg/kg AC(T+cis+AC)處理的line-1細胞接種組,除了門脈血管分支有少量出血外,未顯示任何病理變化。顯示了 6 隻代表性動物的結果。 (放大倍率均為200×)。
圖 6. A. cinnamomea 減少順鉑誘導的發炎...
圖6. A. cinnamomea 減少順鉑誘導的發炎和肝臟細胞凋亡
A. 定量... 圖6. A. cinnamomea減少順鉑誘導的肝臟發炎和細胞凋亡A。因子的mRNA 水平進行定量。 B. 透過qRT-PCR 對所有用載體對照、順鉑或肉桂粉和順鉑組合治療的小鼠肝組織中的半胱天冬酶3、8 和9 mRNA 水平進行定量。載體對照 mRNA 的值設定為 1。 *與對照組有顯著差異(P<0.05)。