牛樟芝的保肝作用:酒精性急性肝損傷小鼠模型中氧化壓力訊號的調節
圖
圖 1
< p> 兩週AC 和Sil 治療...圖1
兩週AC 和Sil 治療降低了(a) ALT 和(b) 水平...
圖 1 兩週的 AC 和 Sil 治療降低了急性酒精性肝損傷小鼠血清中 (a) ALT 和 (b) AST 的水平。使用單向變異數分析對數據進行分析,並將其表示為平均值 SEM (n = 10)。 #P <與無酒精對照組相比為0.05; *P<與僅飲酒對照組相比,為 0.05。 AC:A.肉桂菌絲體; Sil:水飛薊素; ALT:丙胺酸轉氨酶; AST:天門冬胺酸轉氨酶; ANOVA:變異數分析; SEM:平均值的標準誤差。
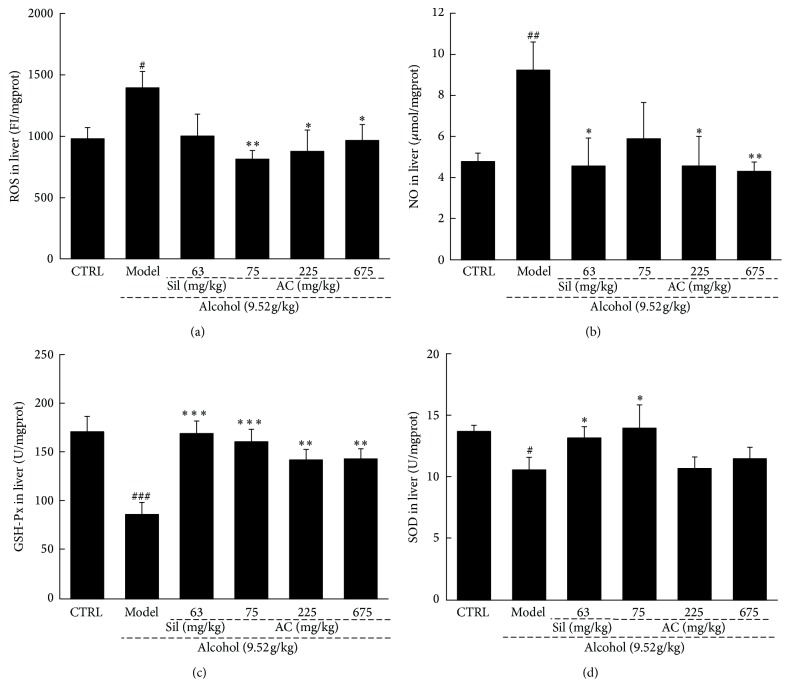
圖2
二-週AC 和Sil 處理...
圖2
兩週AC 和Sil 處理影響(a) ROS、(b) NO 的水平,...
圖 2兩週的 AC 和 Sil 治療影響了急性酒精性肝損傷小鼠肝臟中 (a) ROS、(b) NO、(c) GSH-Px 和 (d) SOD 的水平。使用單向變異數分析對數據進行分析,並將其表示為平均值 SEM (n = 10)。 #P < 0.05,##P< 0.01,且###P<0.01與無酒精對照組相比為0.001; *P< 0.05,*P< 0.01,且 ***P <與僅飲酒對照組相比,為 0.001。 AC:A.肉桂菌絲體; Sil:水飛薊素; ANOVA:變異數分析; GSH-Px:穀胱甘肽過氧化物酶; NO:一氧化氮; ROS:活性氧; SOD:超氧化物歧化酶; SEM:平均值的標準誤差。
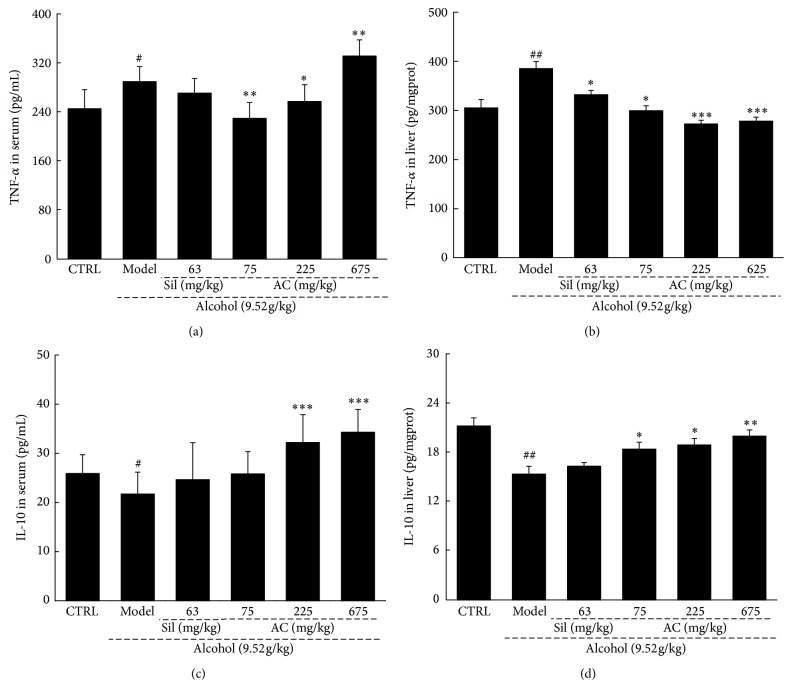
圖3
二-週AC 和Sil 治療...
圖3
兩週AC 和Sil 治療(a 和b)降低了TNF-水平...
圖3 兩週AC 和 Sil 治療(a 和 b)降低了急性酒精性肝損傷小鼠血清和肝臟中 TNF-α 的水平,(c 和 d)增加了 IL-10 的水平。使用單向變異數分析對數據進行分析,並將其表示為平均值 SEM (n = 10)。 #P < 0.05且##P<與無酒精對照組相比為0.01; *P< 0.05,*P< 0.01,且 ***P <與僅飲酒對照組相比,為 0.001。 AC:A.肉桂菌絲體; Sil:水飛薊素; ANOVA:變異數分析; SEM:平均值的標準誤差; IL-10:白血球介素-10; TNF-α:腫瘤壞死因子-α。
圖 4
( )肝臟組織病理學分析…
圖4
(a) H&E 染色顯示的肝臟組織病理學分析(比例尺:100 μ…
圖4(a) ) H&E 染色顯示的肝臟組織病理學分析(比例尺:100μm;放大倍率:40 倍)(b)綠色螢光TUNEL 陽性細胞顯示的凋亡率檢測(比例尺:100μm;放大倍率:20 倍)。絲體;Sil:水飛薊素;TUNEL:末端脫氧核苷酸轉移酶介導的dUTP缺口末端標記。
圖5
二-週AC 和Sil 治療...
圖5
兩週AC 和Sil 治療抑制了磷酸化NF-κ B 的水平和...
圖5兩週AC 和 Sil 治療可抑制急性酒精性肝損傷小鼠肝臟中磷酸化 NF-κB 和磷酸化 Akt 的水平。將定量蛋白質表現的數據標準化為 GAPDH 水平。使用單向變異數分析對數據進行分析,並將其表示為平均值 SEM (n = 10)。 ##P < 0.01 且 ###P <與無酒精對照組相比為0.001; *P< 0.05 且 **P <與僅飲酒對照組相比為 0.01。 AC:A.肉桂菌絲體; Sil:水飛薊素; Akt:蛋白激酶B; ANOVA:變異數分析; SEM:平均值的標準誤差; GAPDH:3-磷酸甘油醛去氫酶; NF-κB:核因子-κB。
圖6
二-週AC 和Sil 處理…
圖6
兩週AC 和Sil 處理抑制了cleaved caspase-3、-8 和…的表達
圖6 二一周的AC 和Sil 治療抑制了急性酒精性肝損傷小鼠肝臟中裂解的caspase-3、-8 和-9 的表達。將定量蛋白質表現的數據標準化為 GAPDH 水平。使用單向變異數分析對數據進行分析,並將其表示為平均值 SEM (n = 10)。 ##P <與無酒精對照組相比為0.01; *P< 0.05 且 **P <與僅飲酒對照組相比為 0.01。 AC:A.肉桂菌絲體; Sil:水飛薊素; ANOVA:變異數分析; SEM:平均值的標準誤差; GAPDH:3-磷酸甘油醛去氫酶。