牛樟芝萃取三萜透過鏈脲佐菌素誘導高血糖糖尿病小鼠模型減輕發炎促進傷口癒合
摘要
本研究評估了三萜透過抗發炎反應調節 STZ 誘發的高血糖糖尿病的作用。糖尿病小鼠每天口服不同濃度的三萜。記錄並評估體重增加、飲水量以及肝臟和脾臟重量。與糖尿病小鼠相比,這些評估對異常代謝表現呈現積極的調節作用。在糖尿病小鼠中,檢測到脂聯素的產生或發炎因子(例如 CCL1 和 TPO 表達)水平的升高可以降低高血糖,從而誘導發炎反應。此外,據我們所知,高血糖會損害與發炎反應增加和延長相關的組織癒合。對受三萜影響的傷口癒合中的抗發炎反應的研究證實了其對傷口恢復的促進作用。
圖
圖1
對萃取的三萜進行分析...圖1
對萃取的三萜進行分析,以鑑定三萜的種類... < /b> 圖1 利用HPLC(A)對萃取的三萜進行分析,鑑定三萜的種類。萃取的三萜類化合物主要包括Antcin H、DeHydrosulfurenic Acid、Eburicoic Acid、Mmethylantcinate B和DeHydroeburicoic Acid(B)。重複三次記錄萃取的三萜的回收率。
圖2
< b> 飲水外觀...圖2
飲水外觀體積、重量、肝臟重量、脾臟重量和... 圖2 每週測量並記錄飲水量、體重、肝臟重量、脾臟重量和血糖。 (n = 5,結果以平均值±SEM 表示)。
圖3
< b> 血清觀察與…圖3
血清觀察,表現為高血脂血清… 圖3 觀察第5週時血清呈高脂血症血清。
圖4
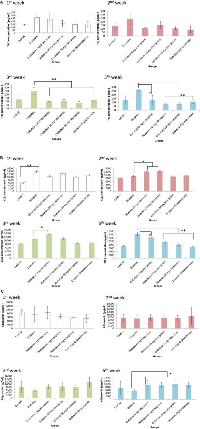
< b> 測量TPO 濃度...圖4
第1、2、3、5 週測量TPO 濃度... 圖4 在第1、2、3、5 週測量TPO 濃度,如(A) 所示。 CCL1 的變化記錄在第 1、2、3 和 5 週,如 (B) 所示。如(C)所示,在第1週、第2週、第3週和第5週測量脂聯素。 (n = 5,p 值小於 0.05(標記為 *)和小於 0.01(標記為 **)被認為具有統計顯著性。結果以平均值±SEM 表示。
圖5
< b>…的傷口癒合調查圖5
糖尿病小鼠的傷口癒合調查,所呈現的觀察結果顯示…圖5傷口透過對糖尿病小鼠的癒合研究,觀察結果表明,用3M CavilonTM無刺膜噴灑20 mg/kg三萜類物質確實能夠誘導糖尿病小鼠傷口癒合(n = 3)。
圖6
< b> 三萜類化合物的建議機制...圖6
三萜類化合物的建議機制涉及糖尿病小鼠的抗發炎作用... 圖6 提出三萜類化合物參與糖尿病小鼠抗發炎作用的機轉。據推測,三萜類化合物的作用機制是與目標基因的糖皮質激素反應元件(GRE)結合,從而調節基因表達,例如透過抑制促炎蛋白的表達和增強抗發炎蛋白的表達。此外,齊墩果酸是一種三萜,可透過膽鹼能神經末梢釋放的乙醯膽鹼來活化胰臟β細胞中的毒蕈鹼M3受體,從而增加胰島素分泌。根據這些發現,我們認為萃取的三萜可以直接滲透細胞與GRE結合或間接與M3受體結合,產生抗發炎作用,進而誘導糖尿病小鼠的傷口癒合。