牛樟芝成分對聚肌苷-聚胞苷酸誘導的 RAW 264.7 細胞的抗發炎作用
摘要
牛樟芝是台灣特有的蘑菇。本研究旨在從A.菌絲體的甲醇萃取物中篩選抗發炎化合物。樟腦酸對RAW 264.7 細胞中由聚肌苷-聚胞苷酸(poly I:C) 誘導的一氧化氮(NO) 產生的影響,聚肌苷-聚胞苷酸是已知存在於病毒感染中的雙股RNA (dsRNA) 的合成類似物。將生物活性引導的分離與基於 NMR 的鑑定相結合,分離出 4-乙醯蒽醌醇 B (1) 以及七種化合物。透過光譜實驗,包括MS、IR和NMR分析,闡明了新化合物(4和5)的結構。在非細胞毒性濃度下評估所有分離化合物的抗發炎活性。 4-Acetylantroquinonol B (1) 是對抗 RAW 264.7 細胞中 Poly I:C 誘導的 NO 產生最有效的化合物,IC50 值為 0.57 ± 0.06 μM。 >圖
圖1 p >
堆疊1 H NMR 譜…
圖1
生物活性組分5(藍色)和…的堆疊1 H NMR 譜…
圖1堆疊生物活性組成 5(藍色)和主要化合物 4-乙醯蒽醌醇 B(紅色)的 1H NMR 譜。
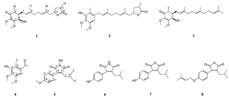
圖2
< p> 化合物的結構 1…圖2
化合物的結構 1 – 8 b>樟芝菌絲體…
圖2 樟芝菌絲體化合物1–8的結構。
圖3
< p> 化合物的關鍵HMBC 相關性…圖3
化合物 4 和 5 的關鍵HMBC 相關性。
圖 3 化合物 4 和 5 的關鍵 HMBC 相關性。