Effects of Culture Mechanism of Cinnamomum kanehirae and C. camphora on the Expression of Genes Related to Terpene Biosynthesis in Antrodia cinnamomea
Abstract
The rare edible and medicinal fungus Antrodia cinnamomea has a substantial potential for development. In this study, Illumina HiSeq 2000 was used to sequence its transcriptome. The results were assembled de novo, and 66,589 unigenes with an N50 of 4413 bp were obtained. Compared with public databases, 6,061, 3,257, and 2,807 unigenes were annotated to the Non-Redundant, Gene Ontology, and Kyoto Encyclopedia of Genes and Genomes databases, respectively. The genes related to terpene biosynthesis in the mycelia of A. cinnamomea were analyzed, and acetyl CoA synthase (ACS2 and ACS4), hydroxymethylglutaryl CoA reductase (HMGR), farnesyl transferase (FTase), and squalene synthase (SQS) were found to be upregulated in XZJ (twig of C. camphora) and NZJ (twig of C. kanehirae). Moreover, ACS5 and 2,3-oxidized squalene cyclase (OCS) were highly expressed in NZJ, while heme IX farnesyl transferase (IX-FIT) and ACS3 were significantly expressed in XZJ. The differential expression of ACS1, ACS2, HMGR, IX-FIT, SQS, and OCS was confirmed by real-time quantitative reverse transcription PCR. This study provides a new concept for the additional exploration of the molecular regulatory mechanism of terpenoid biosynthesis and data for the biotechnology of terpenoid production.
Figures
Figure 1.
Effects of different concentrations of…
Figure 1.
Effects of different concentrations of additives on the triterpenoids of Antrodia cinnamomea .
Figure 1. Effects of different concentrations of additives on the triterpenoids of Antrodia cinnamomea.
Figure 2.
Non-redundant protein database functional classification…
Figure 2.
Non-redundant protein database functional classification of unigenes from Antrodia cinnamomea .
Figure 2. Non-redundant protein database functional classification of unigenes from Antrodia cinnamomea.
Figure 3.
Gene ontology functional classification of…
Figure 3.
Gene ontology functional classification of the unigenes from Antrodia cinnamomea .
Figure 3. Gene ontology functional classification of the unigenes from Antrodia cinnamomea.
Figure 4.
KEGG classification of the unigenes…
Figure 4.
KEGG classification of the unigenes from the Antrodia cinnamomea transcriptome. KEGG: Kyoto encyclopedia…
Figure 4. KEGG classification of the unigenes from the Antrodia cinnamomea transcriptome. KEGG: Kyoto encyclopedia of genes and genomes.
Figure 5.
A Venn diagram of differentially…
Figure 5.
A Venn diagram of differentially expressed genes (DEGs) in the transcriptome of Antrodia…
Figure 5. A Venn diagram of differentially expressed genes (DEGs) in the transcriptome of Antrodia cinnamomea. The sum of the numbers in each circle represents the total number of DEGs in the comparison combination, and the overlap of the circles represents the common DEGs between the two groups compared.
Figure 6.
Interactive heatmap of transcriptome expression…
Figure 6.
Interactive heatmap of transcriptome expression of terpenoid biosynthetases encoded by the Antrodia cinnamomea…
Figure 6. Interactive heatmap of transcriptome expression of terpenoid biosynthetases encoded by the Antrodia cinnamomea transcriptome.
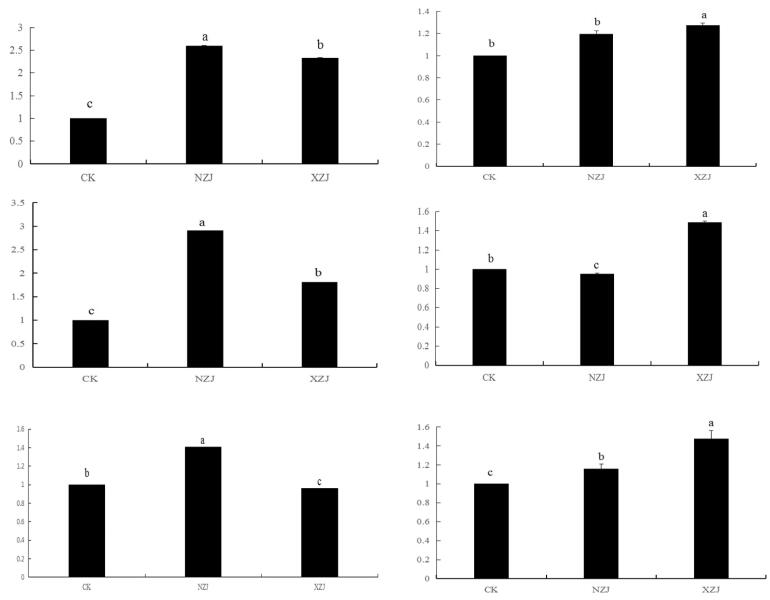
Figure 7.
Relative expression of differentially expressed…
Figure 7.
Relative expression of differentially expressed genes by qRT-PCR. (A) ACS1; (B) ACS2; (C)…
Figure 7. Relative expression of differentially expressed genes by qRT-PCR. (A) ACS1; (B) ACS2; (C) HMGR; (D) IX-FIT; (E) OCS; (F) SQS; qRT-PCR: real-time quantitative reverse transcription PCR. All figures (7)