樟芝子實體的生物活性成分
圖
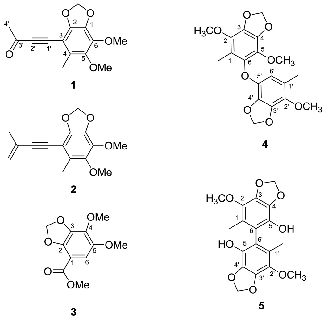
圖 1
化合物1-5的結構。
圖1
化合物1-5的結構。
圖1 化合物1-5的結構。
圖2
化合物結構< b > 16–25 。
圖2
化合物16-25的結構。
圖2 化合物16-25的結構。
圖3
化合物結構< b > 6–12 。
圖3
化合物6-12的結構。
圖3 化合物6-12的結構。
圖4
化合物結構< b > 13–15 。
圖4
化合物13-15的結構。
圖4 化合物13-15的結構。
圖5
化合物結構< b > 26–38 。
圖5
化合物26-38的結構。
圖5 化合物26-38的結構。
圖6
選定的HMBC相關性 1…
圖6
1 和 4 的選定HMBC相關性和NOE相關性 1 。
圖6 1和4的選定HMBC相關性和1的NOE相關性。
圖7
< 的NOE 相關性b> 4 和…
圖7
4 和 5 的NOE 相關性。
圖7 4和5的NOE相關性。 所有人物 (7)