強效抗發炎劑苯並樟腦素 F 的高效全合成及其抗發炎活性
摘要
透過綜合光譜分析對來自食用菌樟芝 (Antrodia Camphorata) 的天然烯炔基苯類苯並樟腦素 F (1) 進行了表徵。它具有抗炎生物活性,對於進一步的生物學研究具有重要價值。本研究是苯並樟腦素F的首次全合成,所開發的策略是一種更有效的方法,可以大規模生產苯並樟腦素F,以便進一步研究體外和體內的生物活性。 p>
圖
圖1 < /p>
苯並樟腦素F 的結構(...
圖1
苯並樟腦素F 的結構( 1 ) 。 alt="圖2" /> a>
圖2
異核多重鍵關聯(HMBC) (→)…
圖2
< p> 異核多重鍵關聯(HMBC) (→) 苯並樟腦素 F 的相關性 ( 1 )。 圖 2 苯並樟腦素 F (1) 的異核多重鍵關聯 (HMBC) (→) 關聯。
圖3
苯並樟腦素F的逆合成分析...
圖3
苯並樟腦素F的逆合成分析(1)。
圖3 苯並樟腦素F (1) 的逆合成分析。
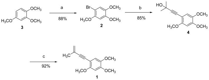
圖4
苯並樟腦素F 的合成(...
圖4
苯並樟腦素F 的合成( 1 )。 試劑和條件:a ) NBS,…
圖 4 苯並樟腦素 F (1) 的合成。 試劑與條件:a)NBS,乙腈,室溫; b) 2-甲基-3-丁炔-2-醇、Pd(PPh3)4、CuI、DMF; c) 甲磺酰氯、甲苯、微波。