In Vitro Anticancer Activity and Structural Characterization of Ubiquinones from Antrodia cinnamomea Mycelium
Abstract
Two new ubiquinones, named antrocinnamone and 4-acetylantrocamol LT3, were isolated along with six known ubiquinones from Antrodia cinnamomea (Polyporaceae) mycelium. The developed HPLC analysis methods successfully identified eight different ubiquinones, two benzenoids, and one maleic acid derivative from A. cinnamomea. The ubiquinones 1-8 exhibited potential and selective cytotoxic activity against three human cancer cell lines, with IC50 values ranging from 0.001 to 35.883 μM. We suggest that the different cytotoxicity levels were related to their chemical structures, especially the 4-hydroxycyclohex-2-enone ring and the presence of a free hydroxyl group in the side chain. The suppression by 4-acetylantrocamol LT3 stopped the cell cycle at the beginning of the G2-M phase thus making the cell cycle arrest at the sub-G1 phase as compared with control cells.
Figures
Figure 1
Chemical structures of compounds 1…
Figure 1
Chemical structures of compounds 1 – 11 .
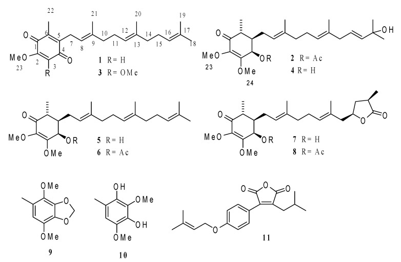
Figure 1 Chemical structures of compounds 1–11.
Figure 2
Key NOE correlations for 1…
Figure 2
Key NOE correlations for 1 .
Figure 2 Key NOE correlations for 1.
Figure 3
HPLC profiling data of antrocinnamone…
Figure 3
HPLC profiling data of antrocinnamone ( A ), 4-acetylantrocamol LT3 ( B )…
Figure 3 HPLC profiling data of antrocinnamone (A), 4-acetylantrocamol LT3 (B) and the fingerprint of Antrodia cinnamomea ethanolic extract with the retention time of compounds 1–11 in HPLC analysis (C).
Figure 4
Effect of DMSO (control) and…
Figure 4
Effect of DMSO (control) and 4-acetylantrocamol LT3 on cell cycle progression of HepG2.
Figure 4 Effect of DMSO (control) and 4-acetylantrocamol LT3 on cell cycle progression of HepG2.
Figure 5
Extraction and isolation of Antrodia…
Figure 5
Extraction and isolation of Antrodia cinnamomea extract.
Figure 5 Extraction and isolation of Antrodia cinnamomea extract.